Conocé algunos de los exámenes con los que la nueva gestión está poniendo a prueba a los trabajadores con los que se cruza en las oficinas de los ministerios públicos para saber si son ñoquis.
El Gobierno Nacional se encuentra en pleno proceso de revisión de contratos, con el objetivo de “limpiar al Estado de ñoquis y militantes”. Lo cierto es que, si bien la meta es compartida, en cada ministerio se viven distintas situaciones.
Según manifiestan las nuevas autoridades, los cambios apuntan a la creación de equipos proactivos, conformados por personal capacitado para los puestos que ocupan. Para eso aclaran que deben "evaluar las habilidades" de los empleados que se desempeñan en los organismos públicos y, una vez con esa información, definir quiénes merecen continuidad.
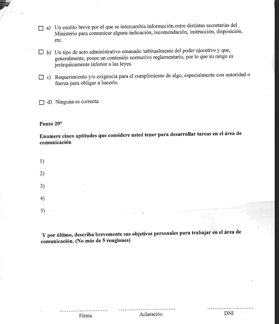
Los famosos test multiple choice constituyen una de las herramientas que utilizan con ese fin. Ya se han implementado en algunas áreas, como Prensa y Comunicación del ex Ministerio de Planificación Federal adonde estaban nombrados más de 50 empleados de prensa.
En la oficina que dependía de Julio de Vido -que muy rara vez concedía reportajes- los periodismos hacían monitoreo de medios, coberturas, gacetillas y producciones audiovisuales. A partir del cambio de gestión, se les comunicó que debían completar un test titulado “Evaluación para periodistas/comunicadores”, que decidiriá su destino laboral.
“El área de prensa que nosotros vamos a implementar va a ser mucho menor. Queremos que hagan estas evaluaciones para medir sus habilidades y definir quiénes siguen”, les dijo un funcionario. Así fue como los llevaron a una sala de reuniones y les dieron los test, incluyendo a otros empleados del ex Ministerio de Planificación, que nada tenían que ver con el sector.
Preguntas como “¿Qué es un adverbio?” o “¿Qué es –en el argot periodístico- un título informativo?”, conviven con ejercicios de “comprensión de textos”, y numerosas opciones multiple choice.
Por ejemplo, frente al interrogante de “¿Qué es una fuente primaria?” los empleados pueden elegir entre varias respuestas –muchas de ellas, realmente insólitas-:
-Material de primera mano relativo a un fenómeno que se desea investigar o relatar
-El mensaje de audio de un clarividente
-Agua surgente por diferencial de presión
-Informaciones provenientes de textos basados o no en hechos reales
-Ninguna es correcta
La sorpresiva evaluación generó un gran malestar entre los trabajadores de prensa, quienes dicen sentirse "humillados". Denuncian que la incertidumbre es muy grande y que no se les ha comunicado todavía el resultado de los exámenes ni la continuidad -o no- de sus puestos laborales.
También están los casos de los empleados que enfrentan auditorías, como en el Ministerio de Producción, donde se entregan unos formularios para ordenar el relevamiento organizacional.
Mientras tanto, en otras áreas y ministerios públicos denuncian que ya no tienen computadora, escritorio y mucho menos oficina. Como debieron ceder el lugar a los nuevos equipos, pasan sus días a la espera de novedades.
¿Qué dicen los de Recursos Humanos de los organismos? Sostienen que la idea es continuar con los trabajadores que demuestren sus competencias, y dar de baja los contratos de los famosos “ñoquis” o aquellos que entraron por medio de la militancia.










